• Предмет: Алгебра
  • Автор: ahdhdhdhs
  • Вопрос задан 9 лет назад

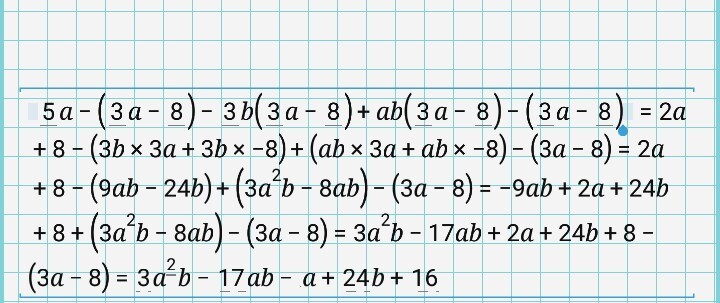
5a (3a-8)-3b (3a-8)+ab (3a-8)-(3a-8) помогите пожалуйста!

Ответы

Ответ дал: лесик13
0
решила, надеюсь что вы все поймёте
Приложения:
Вас заинтересует