• Предмет: Математика
  • Автор: tihon1211911
  • Вопрос задан 9 лет назад

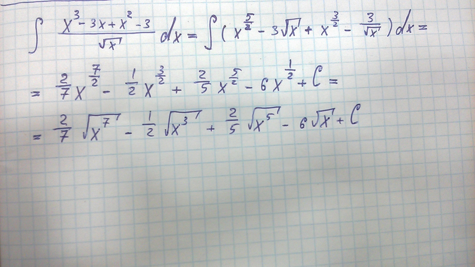
Помогите решить интеграл))

Приложения:

Ответы

Ответ дал: mishsvyat
0
Раскрываем скобки в числителе и делим почленно
Приложения:
Ответ дал: tihon1211911
0
Что значит буква C?)
Ответ дал: tihon1211911
0
А всё)
Ответ дал: tihon1211911
0
спасибо
Вас заинтересует