Ответы
Ответ дал:
0
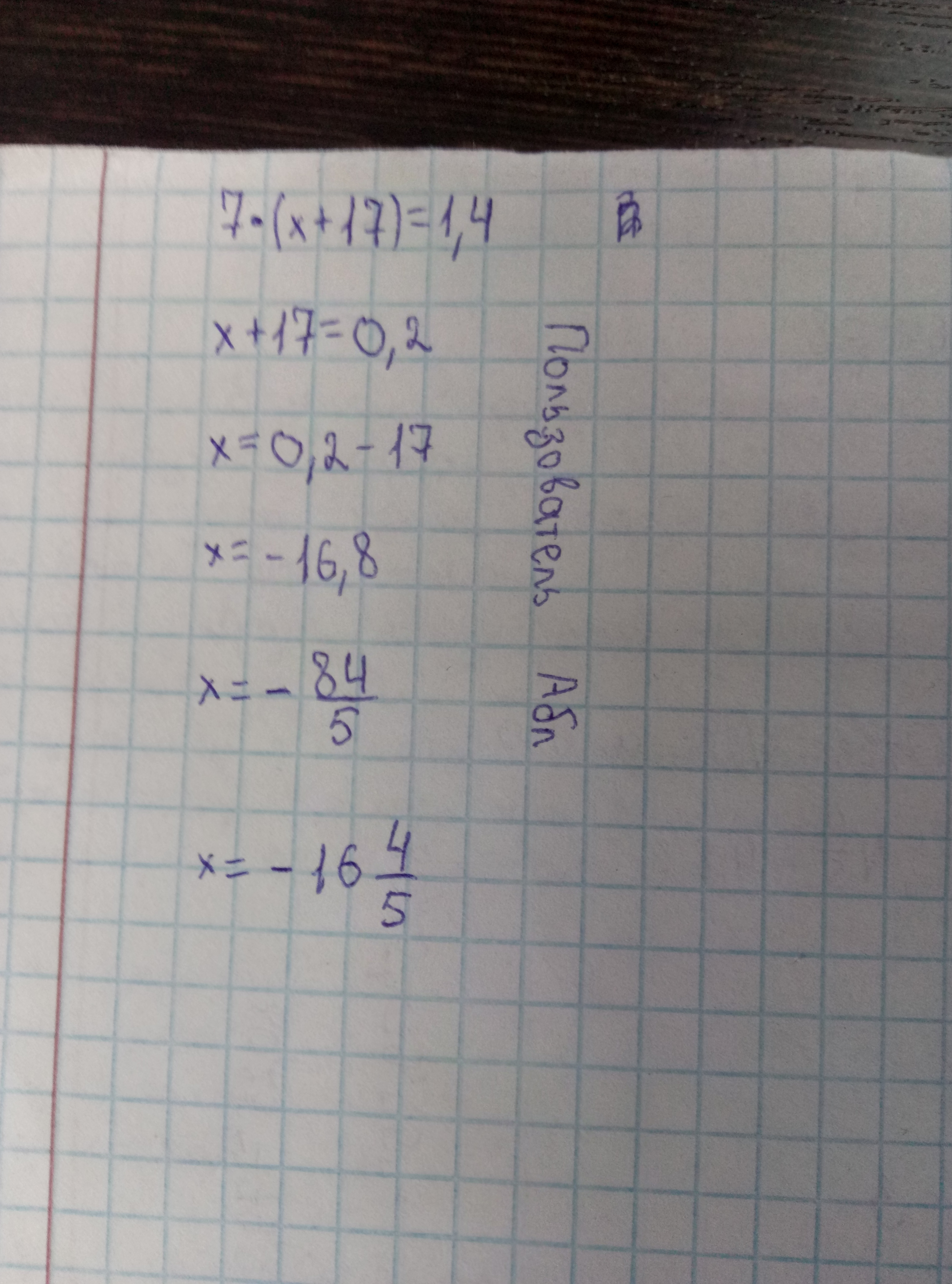
7*(x+17)=1,4
x+17=0,2
x=0,2-17
x=-16,8
x=-
x+17=0,2
x=0,2-17
x=-16,8
x=-
Ответ дал:
0
НАписал, что решал я, чтобы модераторы не писали мне, тип я вставляю чужие решения
Приложения:

Ответ дал:
0
Всегда пожалуйста)
Ответ дал:
0
поможешь последний пожалуйста
Ответ дал:
0
Обращайся если что)
Ответ дал:
0
сейчас напишу
Ответ дал:
0
ок напиши.
Вас заинтересует
2 года назад
2 года назад
3 года назад
3 года назад
9 лет назад
10 лет назад