Ответы
Ответ дал:
0
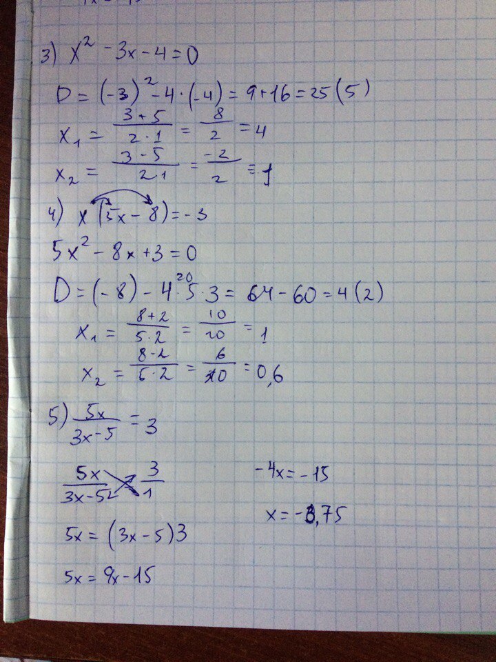
3)х2-3х-4=0
Д=(-3)2-4*(-4)=9+16=25
х1=3+5/2=4
х2=3-5/2=-1
4)х(5х-8)=-3
5х2-8х+3=0
Д=(-8)-4*5*3=64+60=4
х1=8++2/10=1
х2=8-2/10=0,6
5)5х/3х-5=3
5х=(3х-5)*3
5х=9х-15
-4х=-15
х=3,75
Д=(-3)2-4*(-4)=9+16=25
х1=3+5/2=4
х2=3-5/2=-1
4)х(5х-8)=-3
5х2-8х+3=0
Д=(-8)-4*5*3=64+60=4
х1=8++2/10=1
х2=8-2/10=0,6
5)5х/3х-5=3
5х=(3х-5)*3
5х=9х-15
-4х=-15
х=3,75
Приложения:
Ответ дал:
0
там все хорошо решают
Ответ дал:
0
я знаю, что это за приложение, оно решает не правильно, особенно, с дискриминантом, так чтоо))
Ответ дал:
0
наверн ты просто не правильно писала,сколько с этим приложением делаю всегда правильно)
Ответ дал:
0
попробуй решить в тетради, не думаю, что я, имея твердую 4 по алгебре, при этом, сдавая экзамены, не могу решить такие легкие уравнения)
Ответ дал:
0
а у меня 5) и да я решила и тоже самое что и по приложению)
Вас заинтересует
2 года назад
2 года назад
3 года назад
9 лет назад
9 лет назад