Ответы
Ответ дал:
0
1)первый способ - представить в виде двух дробей и привести к общему знаменателю
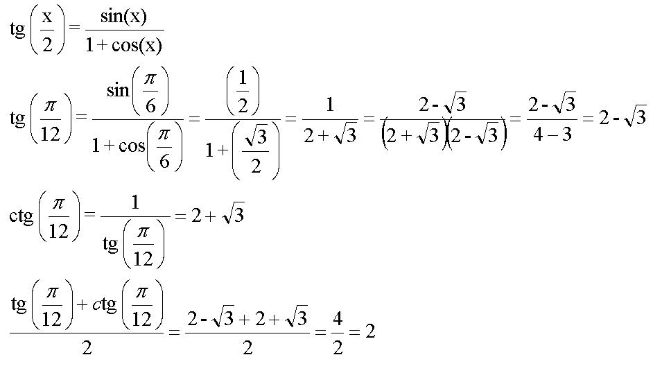
2) второй способ - вычислить тангенс и котангенс половинного угла
2) второй способ - вычислить тангенс и котангенс половинного угла
Приложения:


Вас заинтересует
2 года назад
10 лет назад
10 лет назад
10 лет назад