• Предмет: Алгебра
  • Автор: Joyes
  • Вопрос задан 9 лет назад

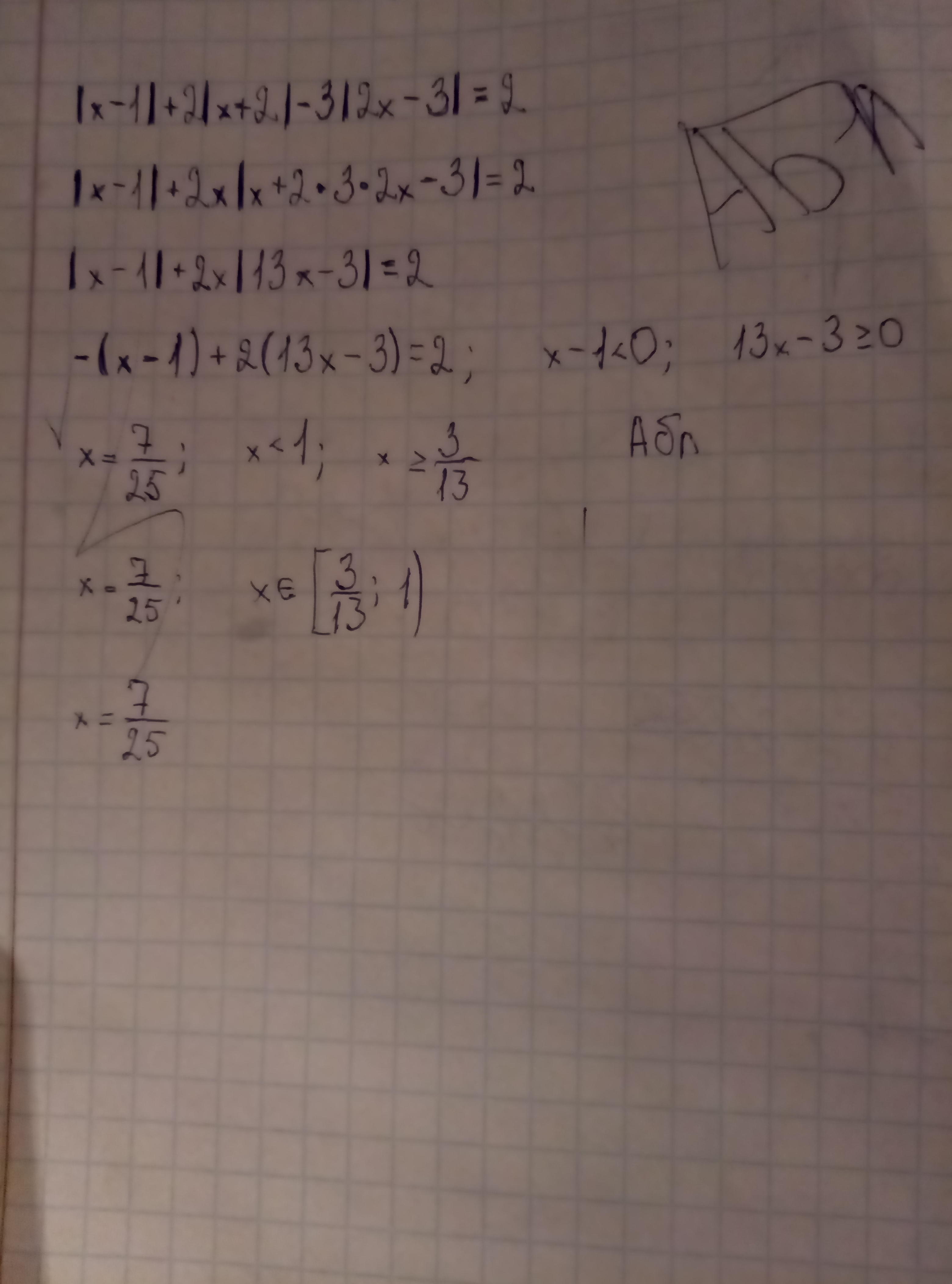
Решите пожалуйста уравнение
|x-1|+2|x+2|-3|2x-3|=2

Ответы

Ответ дал: абл
0
Вот полное решение, надеюсь пригодится, хотя вряд ли
Приложения:
Вас заинтересует