• Предмет: Алгебра
  • Автор: 1pc1
  • Вопрос задан 11 лет назад

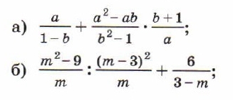
Пожалуйста, помогите решить примеры! :)

Приложения:

Ответа на этот вопрос пока нет. Попробуйте найти его через форму поиска.

Вас заинтересует