Помогите. Геометрия. 8 класс.
эти все номера сделать. заранее спасибо. даю 25 баллов.
Приложения:

Ответы
Ответ дал:
0
Решения этих задач ниже:
Приложения:


Ответ дал:
0
как еще фото добавить?
Ответ дал:
0
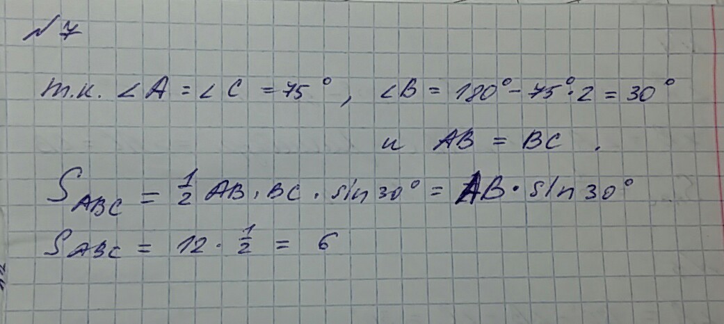
а номер 7 не сделала?
Ответ дал:
0
сделала
Ответ дал:
0
ну ты просто добавь вторую фотку.
Вас заинтересует
2 года назад
2 года назад
3 года назад
3 года назад
9 лет назад
9 лет назад
10 лет назад