• Предмет: Математика
  • Автор: яна1778
  • Вопрос задан 9 лет назад

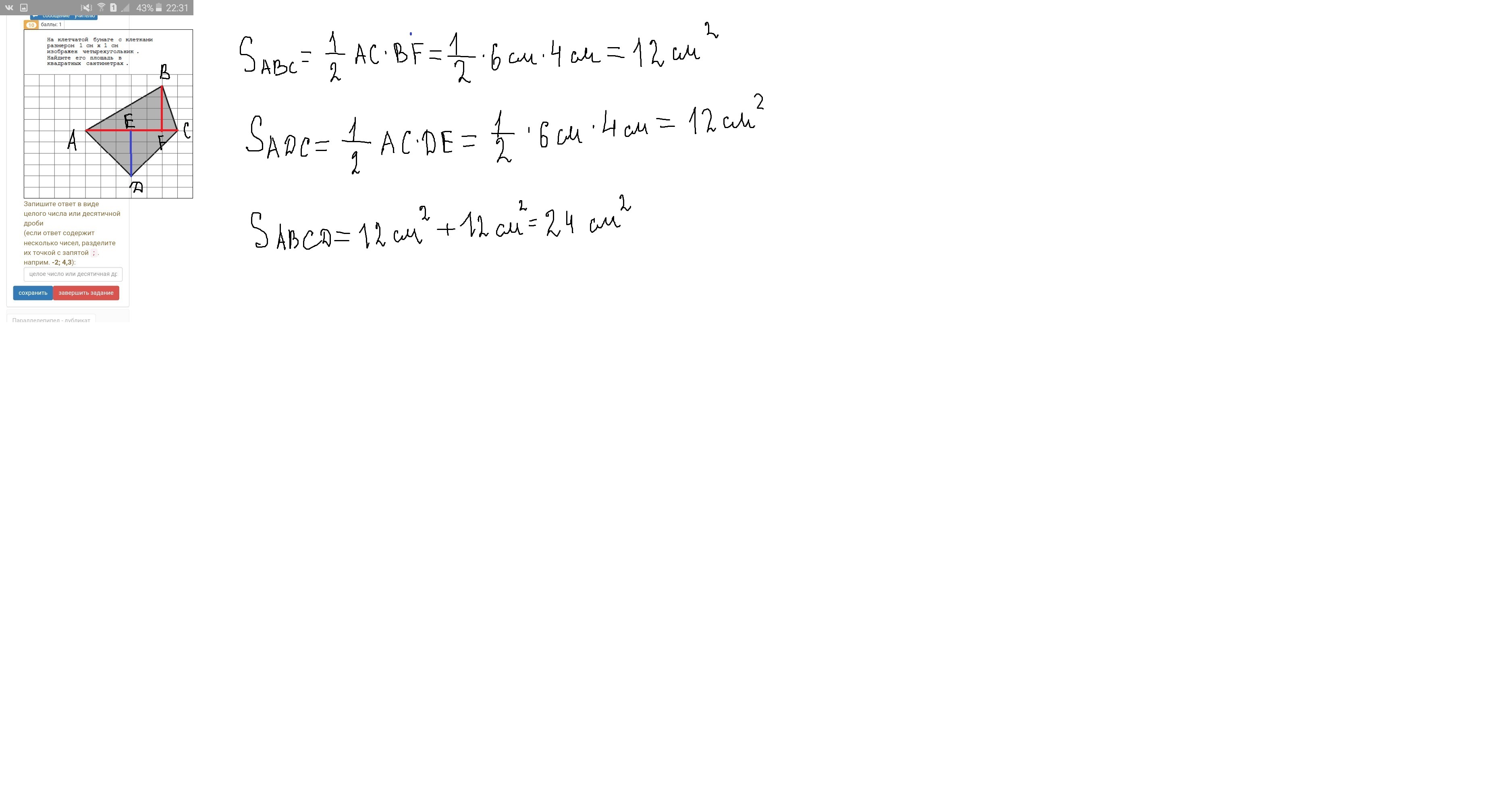
на клеточной бумаге с клетками размером 1см на 1см изображен четырехугольник Найдите его площадь в квадратных сантиметрах

Приложения:

Ответы

Ответ дал: parus77
0
опустим высоты и найдем площади 2 треугольников,а потом площадь всей фигуры
Приложения:
Вас заинтересует