Две швеи, работая вместе, могут выполнить заказ за 12 дней. За сколько дней, работая самостоятельно, выполнит этот заказ вторая швея, если первая швея за два дня выполняет такую же часть заказа, какую вторая - за три дня?
Ответы
Ответ дал:
0
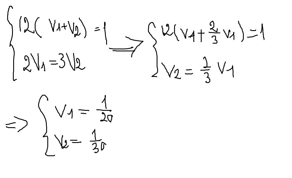
Обозначим v1 и v2 — объёмы работ, которые выполняют за день первый и второй рабочий, соответственно, полный объём работ примем за 1. Тогда по условию задачи на рисунке
Вывод:Тем самым, первый рабочий за день выполняет одну двадцать первую всей работы, значит, работая отдельно, он справится с ней за 20 день.
Вывод:Тем самым, первый рабочий за день выполняет одну двадцать первую всей работы, значит, работая отдельно, он справится с ней за 20 день.
Приложения:
Вас заинтересует
2 года назад
2 года назад
3 года назад
9 лет назад
9 лет назад
10 лет назад