• Предмет: Алгебра
  • Автор: Alina29102001
  • Вопрос задан 9 лет назад

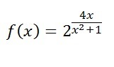
Определите область значений функции

Приложения:

Ответа на этот вопрос пока нет. Попробуйте найти его через форму поиска.

Вас заинтересует