Ответы
Ответ дал:
0
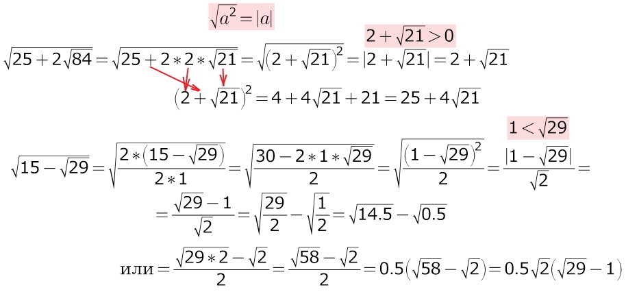
если под корнем выделить полный квадрат, то квадратный корень можно будет извлечь...
любое число (и иррациональное тоже...) можно одновременно умножить и разделить на 2, например... число не изменится))) так во втором примере получим недостающий множитель 2...
основная формула: квадрат суммы (или разности)...
осталось подобрать удобные слагаемые в эту формулу...
любое число (и иррациональное тоже...) можно одновременно умножить и разделить на 2, например... число не изменится))) так во втором примере получим недостающий множитель 2...
основная формула: квадрат суммы (или разности)...
осталось подобрать удобные слагаемые в эту формулу...
Приложения:
Вас заинтересует
2 года назад
3 года назад
3 года назад
9 лет назад
9 лет назад
10 лет назад