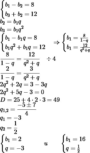
Разность между первым и вторым членом геометрисеской прогресий равно 8 , а сумма третьего и второго равно 12 Найдите первый член геометрический прогресий и знаменатель.
Ответы
Ответ дал:
0
Приложения:

Вас заинтересует
2 года назад
3 года назад
3 года назад
9 лет назад
10 лет назад