• Предмет: Алгебра
  • Автор: kazuko00
  • Вопрос задан 9 лет назад

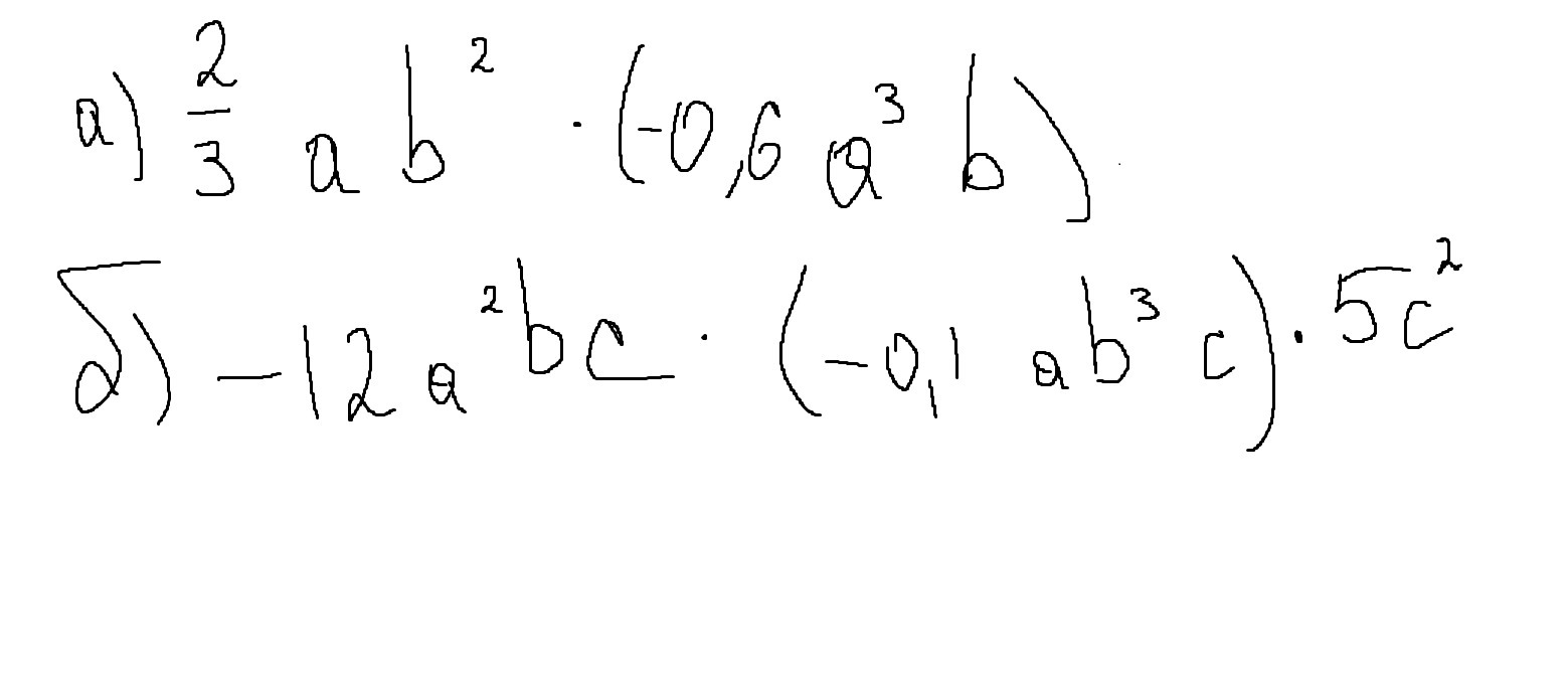
Приведите одночлены к стандартному виду :

Приложения:

Ответы

Ответ дал: mrangel0405p17i2x
0
0.4a⁴b³
6a³b⁴c⁴
Вроде так

Вас заинтересует