• Предмет: Алгебра
  • Автор: MsMen
  • Вопрос задан 9 лет назад

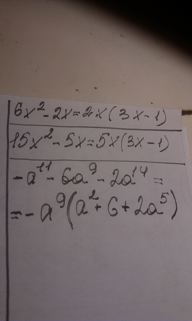
Винесіть спільний множник за дужку (Цифри в ( )-степінь)

6Х(2)-2Х;

15Х(2)-5Х;

-а(11)-6а(9)-2а(14)

Ответы

Ответ дал: manyny06
0
решение смотри на фотографии
Приложения:
Вас заинтересует