Ответы
Ответ дал:
0
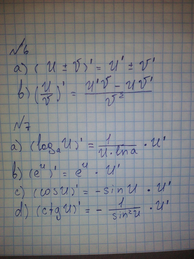
В 6 всё легко. В 7 дифференцируешь как обычно, а потом умножаешь на сложную функцию U.
Приложения:

Ответ дал:
0
В седьмом это уже готовый вид решения, да?
Вас заинтересует
2 года назад
2 года назад
3 года назад
3 года назад
9 лет назад
9 лет назад
10 лет назад