• Предмет: Алгебра
  • Автор: Karandashidze
  • Вопрос задан 9 лет назад

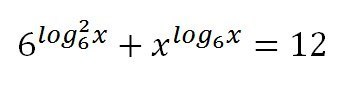
Решить уравнение, подробно, пожалуйста.

Приложения:

Ответы

Ответ дал: ВладимирБ
0
Решение смотри на Фото
Приложения:
Вас заинтересует