Ответы
Ответ дал:
0
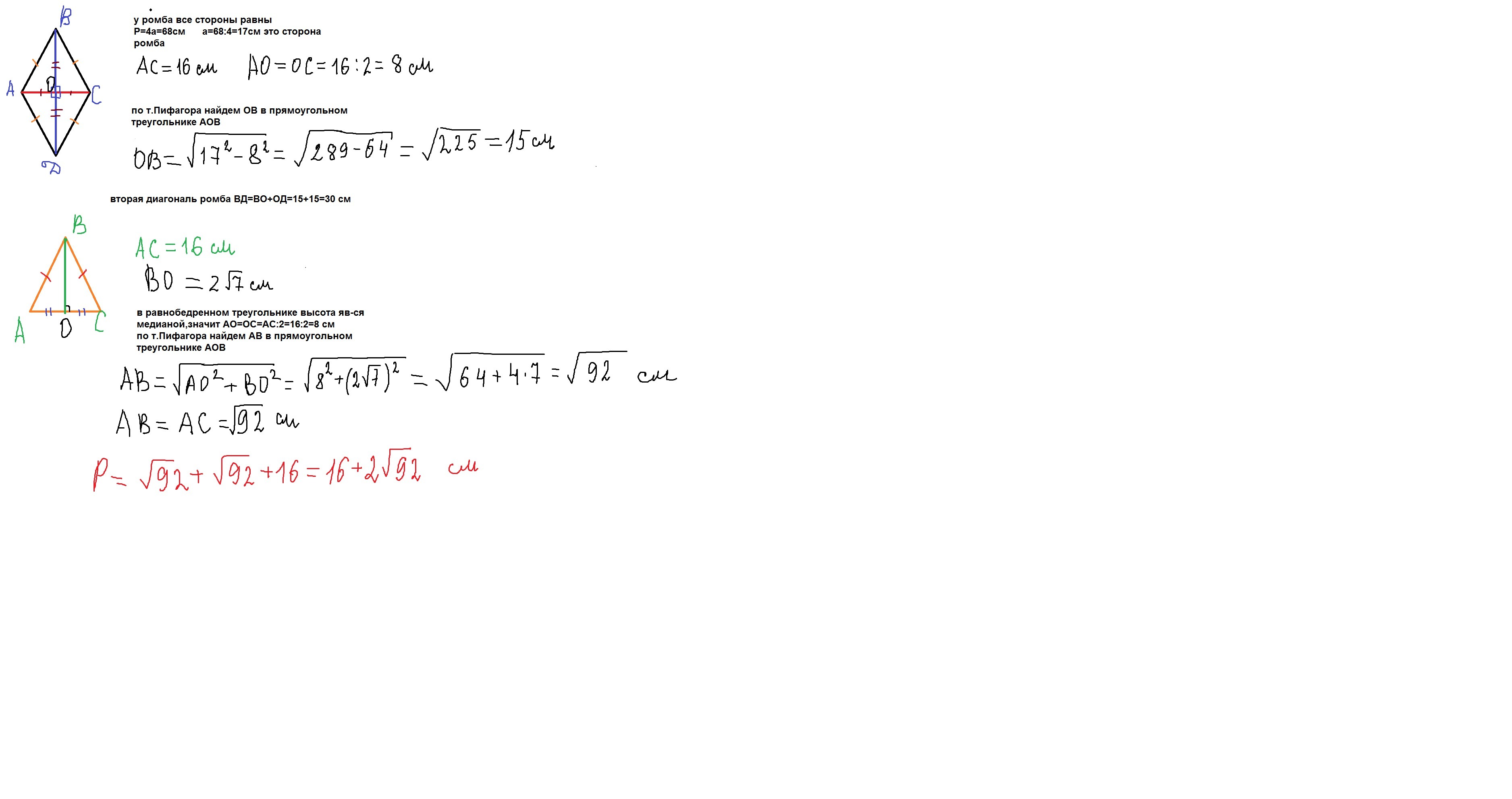
3). Найдем сторону ромба
Р=4а⇒ а=Р/4=68/4=17см
Для ромба существует формула, связывающая диагонали и сторону:
4а²=D²+d² ⇒ D²=4а²-d²
D²=4*17²-16²=1156-256=900
D=√900=30см
Ответ: длина диагонали 30см
4) Высота равнобедренного треугольника является и медианой, поэтому сторона основания разделена высотой на 2 отрезка по 8 см.
Тогда по теореме Пифагора найдем значение боковой стороны.
Боковая сторона=√(8²+(2√7)²)=√(64+4*7)=√92=2√23см
Р=2*2√23+16=4√23+16
Р=4а⇒ а=Р/4=68/4=17см
Для ромба существует формула, связывающая диагонали и сторону:
4а²=D²+d² ⇒ D²=4а²-d²
D²=4*17²-16²=1156-256=900
D=√900=30см
Ответ: длина диагонали 30см
4) Высота равнобедренного треугольника является и медианой, поэтому сторона основания разделена высотой на 2 отрезка по 8 см.
Тогда по теореме Пифагора найдем значение боковой стороны.
Боковая сторона=√(8²+(2√7)²)=√(64+4*7)=√92=2√23см
Р=2*2√23+16=4√23+16
Ответ дал:
0
во второй задаче можно √92 заменить √92≈9,6 см,тогда периметр
Р=2*9,6+16=35,2 см
Р=2*9,6+16=35,2 см
Приложения:
Вас заинтересует
2 года назад
2 года назад
3 года назад
3 года назад
9 лет назад
10 лет назад
10 лет назад