• Предмет: Алгебра
  • Автор: Kuiliboevtimur
  • Вопрос задан 9 лет назад

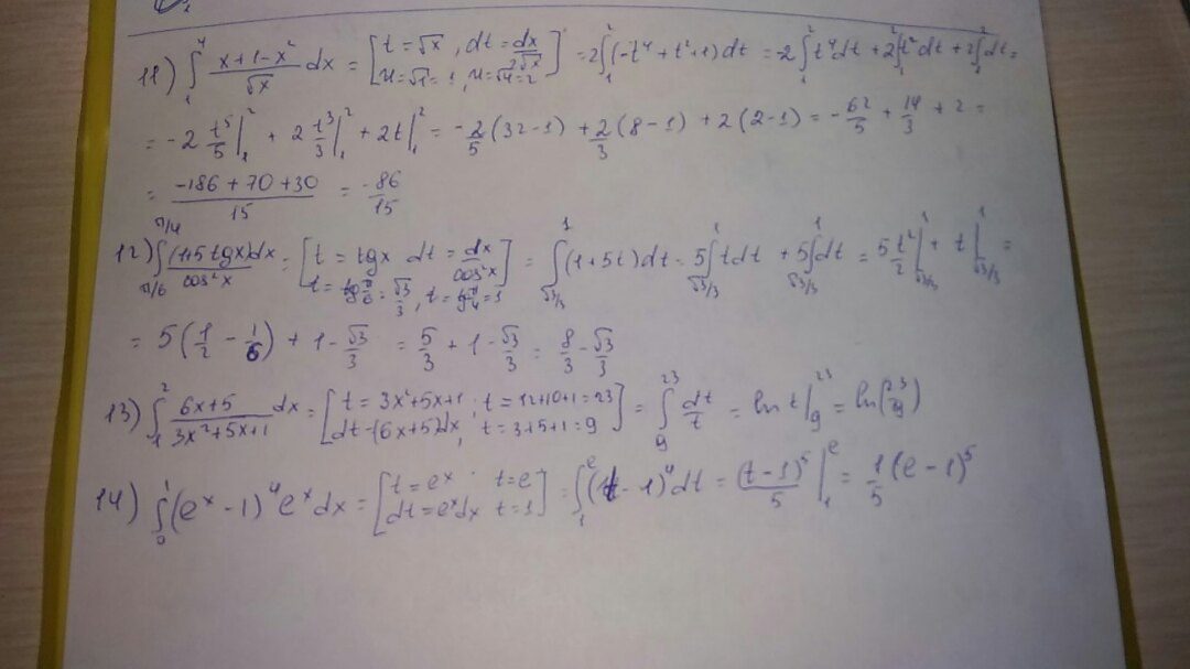
Решите пожалуйста Интегралы, у меня очень туго с ней, а завтра домашку сдать надо!

Приложения:

Ответы

Ответ дал: katyabu
0
интегралы взяты либо по таблице, либо внесением под знак дифференциала, либо заменой
Приложения:
Вас заинтересует