Привет! Решал тут 21 задание 9 класс попалось такое задание, решив я не понял почему ответ равет (6;3) (-6;3)
Приложения:
Ответы
Ответ дал:
0
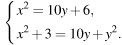
x²=10y+6
x²+3=10y+y²
10y+6+3=10y+y²
y²=9
y₁=3 x²=10*3+6 x²=36 x₁=6 x₂=-6
y₂=-3 x²=10*(-3)+6 x²=-24 ∉.
Ответ: x₁=6 y₁=3 x₂=-6 y=3.
x²+3=10y+y²
10y+6+3=10y+y²
y²=9
y₁=3 x²=10*3+6 x²=36 x₁=6 x₂=-6
y₂=-3 x²=10*(-3)+6 x²=-24 ∉.
Ответ: x₁=6 y₁=3 x₂=-6 y=3.
Вас заинтересует
2 года назад
2 года назад
3 года назад
3 года назад
9 лет назад
10 лет назад