• Предмет: Физика
  • Автор: Maрмевладка
  • Вопрос задан 9 лет назад

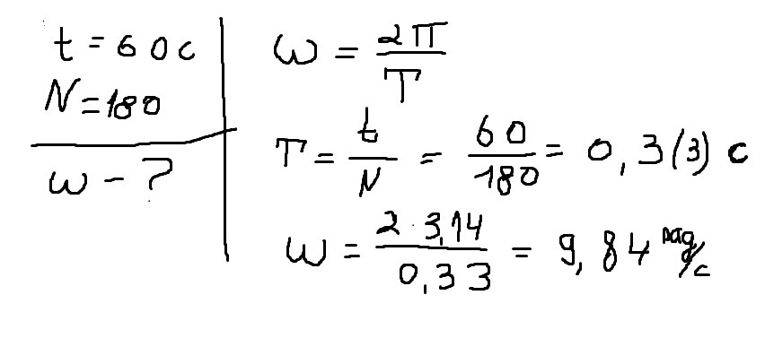
Колесо за 1 хв робить 180 обертів. Визначте його кутову швидкість руху.

Ответы

Ответ дал: karlson1309199p0ysus
0
надеюсь на фото все понятно
Приложения:
Вас заинтересует