Какое число представлено в виде произведения простых множителей а) 2*3*13
2*5*29
2во 2 степени*3*5
2*3во 2степени*7?
Ответы
Ответ дал:
0
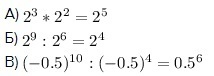
Возьми как пример для решение, если получится
Приложения:
Вас заинтересует
2 года назад
2 года назад
3 года назад
3 года назад
9 лет назад
9 лет назад
10 лет назад
10 лет назад