• Предмет: Алгебра
  • Автор: 79503794045
  • Вопрос задан 9 лет назад

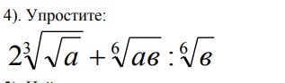
надо упростить помогите плиз

Приложения:

Ответа на этот вопрос пока нет. Попробуйте найти его через форму поиска.

Вас заинтересует