• Предмет: Алгебра
  • Автор: Милен2000
  • Вопрос задан 9 лет назад

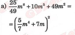
25/49m (8) +10m (5) +49m (2) =(5/7m(4)+7m) (2)

Читается: двадцать пять сорок девятых m в восьмой степени + десять m в пятой степени + сорок девять m во второй степени = пять седьмых в четвертой степени + 7 m во второй степени. (Для тех кто так и не понял, что я имела ввиду, я прислала фото. Просто мне срочно нужно понять этот материал и не хочу потратить зря баллы).

Так вот... главный вопрос: КУДА ПРОПАЛО 10m(5)? Обьясните, пожалуйста.

Приложения:

Ответа на этот вопрос пока нет. Попробуйте найти его через форму поиска.

Вас заинтересует