Ответы
Ответ дал:
0
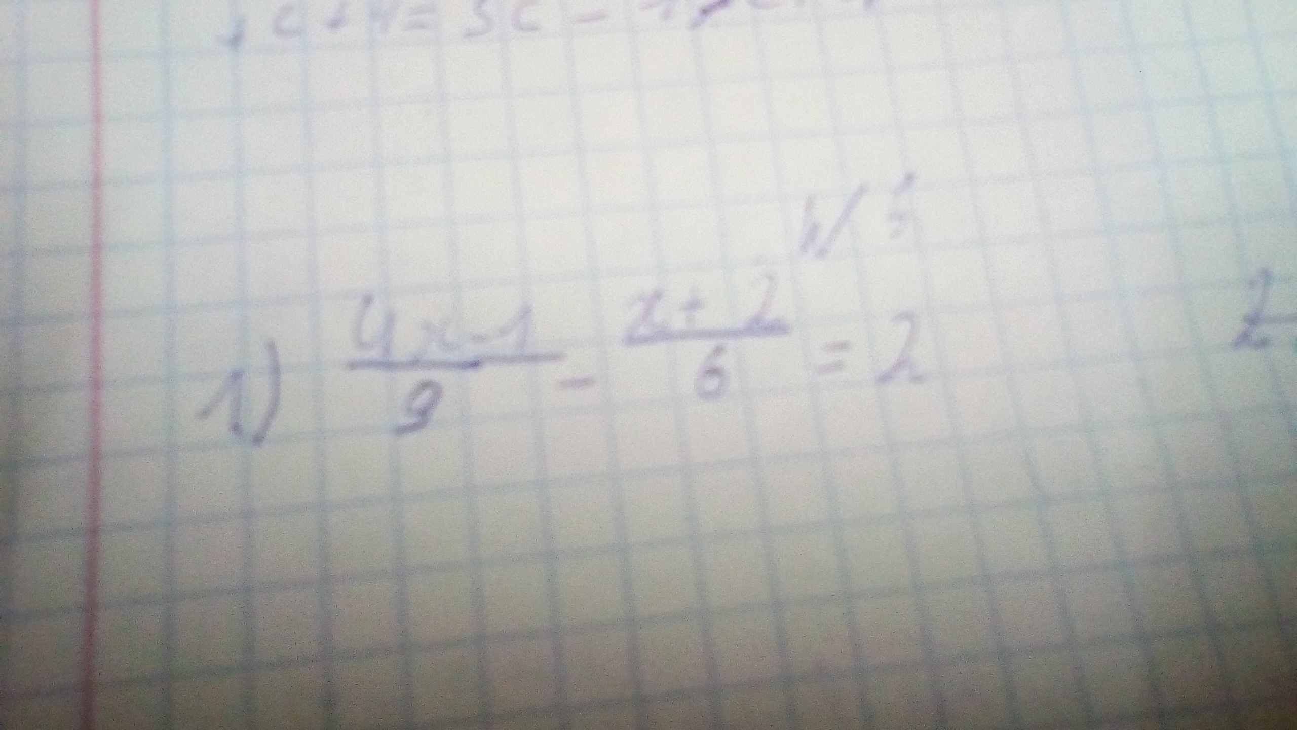
2×(4x-1)-3×(x+2)=36
8x-2-3x-6=36
5x-8=36
5x=36+8
5x=44
x=44/5
8x-2-3x-6=36
5x-8=36
5x=36+8
5x=44
x=44/5
Ответ дал:
0
2(4х-1)-3(x+2)=36
8x-2-3x-6=36
5x-8=36
5x=36+8
5x=44
x=44/5
8x-2-3x-6=36
5x-8=36
5x=36+8
5x=44
x=44/5
Вас заинтересует
2 года назад
2 года назад
3 года назад
3 года назад
9 лет назад