Ответы
Ответ дал:
0
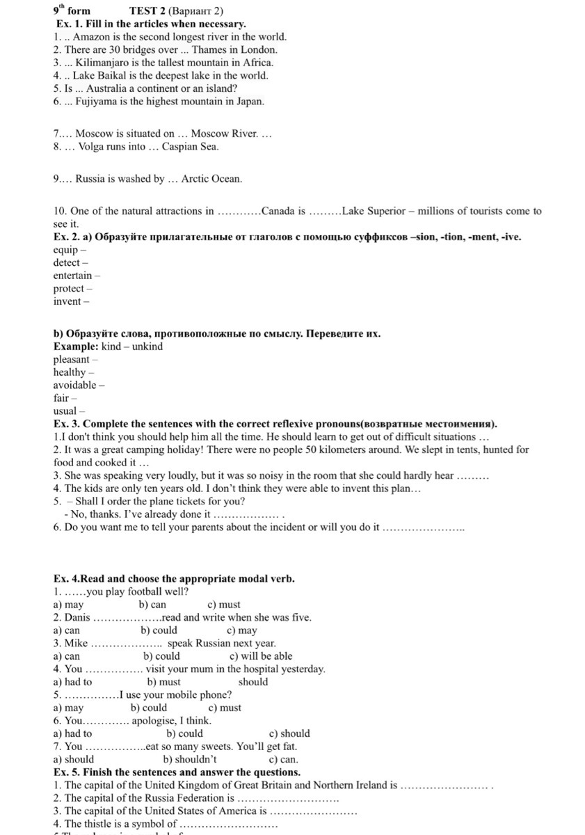
1)The
2)The
3)-
4)-
5)-
6)-
7)- The
8)The The
9)- The
10)- -
Второе упражнение:
a)
equip-equipment
detect-detection
entertain-entertainment
protect -protection
invent-invention
b) pleasant-unpleasant
healthy-unhealthy
avoidable-unavoidable
fair-unfair
usual-unusual
Задание 3:
1)himself
2)ourselves
3)herself
4)themselves
5)myself
6)myself
Задание 4:
1)b
2)b
3)c
4)a
5)a
6)c
7)b
Задание 5:
1)London
2)Moscow
3)Washington
4)Scotland
Дальше вроде что-то есть,но не видно
2)The
3)-
4)-
5)-
6)-
7)- The
8)The The
9)- The
10)- -
Второе упражнение:
a)
equip-equipment
detect-detection
entertain-entertainment
protect -protection
invent-invention
b) pleasant-unpleasant
healthy-unhealthy
avoidable-unavoidable
fair-unfair
usual-unusual
Задание 3:
1)himself
2)ourselves
3)herself
4)themselves
5)myself
6)myself
Задание 4:
1)b
2)b
3)c
4)a
5)a
6)c
7)b
Задание 5:
1)London
2)Moscow
3)Washington
4)Scotland
Дальше вроде что-то есть,но не видно
Вас заинтересует
2 года назад
3 года назад
9 лет назад