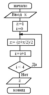
Дана блок-схема. Какое значение будет иметь z на выходе, если x=52? (При решении и в ответе округляй до десятых)
Приложения:
Ответы
Ответ дал:
0
Значение z будет равно 24,44
Вас заинтересует
2 года назад
3 года назад
3 года назад
9 лет назад
9 лет назад