• Предмет: Математика
  • Автор: dshvedkov
  • Вопрос задан 9 лет назад

помогите пжлст!!!! Буду благодарен ,помогите пжлст!!!! Буду благодарен

Приложения:

Ответы

Ответ дал: tgz
0
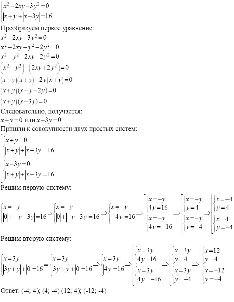
Решение на прилагаемом изображении.
Приложения:
Ответ дал: tgz
0
Во-первых, могла решить не самым рациональным способом, во-вторых, при наборе текста могла допустить опечатку. Но, лучше что-то, чем ничего)))
Вас заинтересует