Ответы
Ответ дал:
0
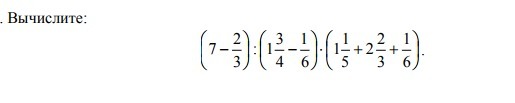
1) 7-2/3=6 1/3
2) 1 3/4-1/6=1 9/12-2/12=1 7/12
3) 1 1/5+2 2/3+1/6=1 6/30 + 2 12/30 + 5/30=3 (6+12+5)/30=3 23/30
4) 6 1/3: 1 7/12 * 3 23/30=19/3 : 19/12 * 113/30 = 19/3*12/19*113/30=4*113/30=2*113/15=226/15=15 1/15
Ответ: 15 1/15
2) 1 3/4-1/6=1 9/12-2/12=1 7/12
3) 1 1/5+2 2/3+1/6=1 6/30 + 2 12/30 + 5/30=3 (6+12+5)/30=3 23/30
4) 6 1/3: 1 7/12 * 3 23/30=19/3 : 19/12 * 113/30 = 19/3*12/19*113/30=4*113/30=2*113/15=226/15=15 1/15
Ответ: 15 1/15
Вас заинтересует
2 года назад
2 года назад
3 года назад
3 года назад
9 лет назад
9 лет назад
10 лет назад