• Предмет: Математика
  • Автор: lepeshkov1999
  • Вопрос задан 9 лет назад

Решите пожалуйста эту призводную прошу срочно!!!!
Пожалуйста!!!

Приложения:

Ответы

Ответ дал: Trover
0
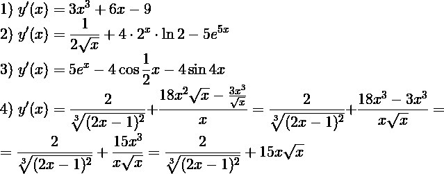
1);y'(x)=3x^3+6x-9\2);y'(x)=frac1{2sqrt x}+4cdot2^xcdotln2-5e^{5x}\3);y'(x)=5e^x-4cosfrac12x-4sin4x\4);y'(x)=frac2{sqrt[3]{(2x-1)^2}}+frac{18x^2sqrt x-frac{3x^3}{sqrt x}}x=frac2{sqrt[3]{(2x-1)^2}}+frac{18x^3-3x^3}{xsqrt x}=\=frac2{sqrt[3]{(2x-1)^2}}+frac{15x^3}{xsqrt x}=frac2{sqrt[3]{(2x-1)^2}}+15xsqrt x
Приложения:
Ответ дал: lepeshkov1999
0
Спасибо большой
Вас заинтересует