• Предмет: Математика
  • Автор: Корольнифтяников
  • Вопрос задан 9 лет назад

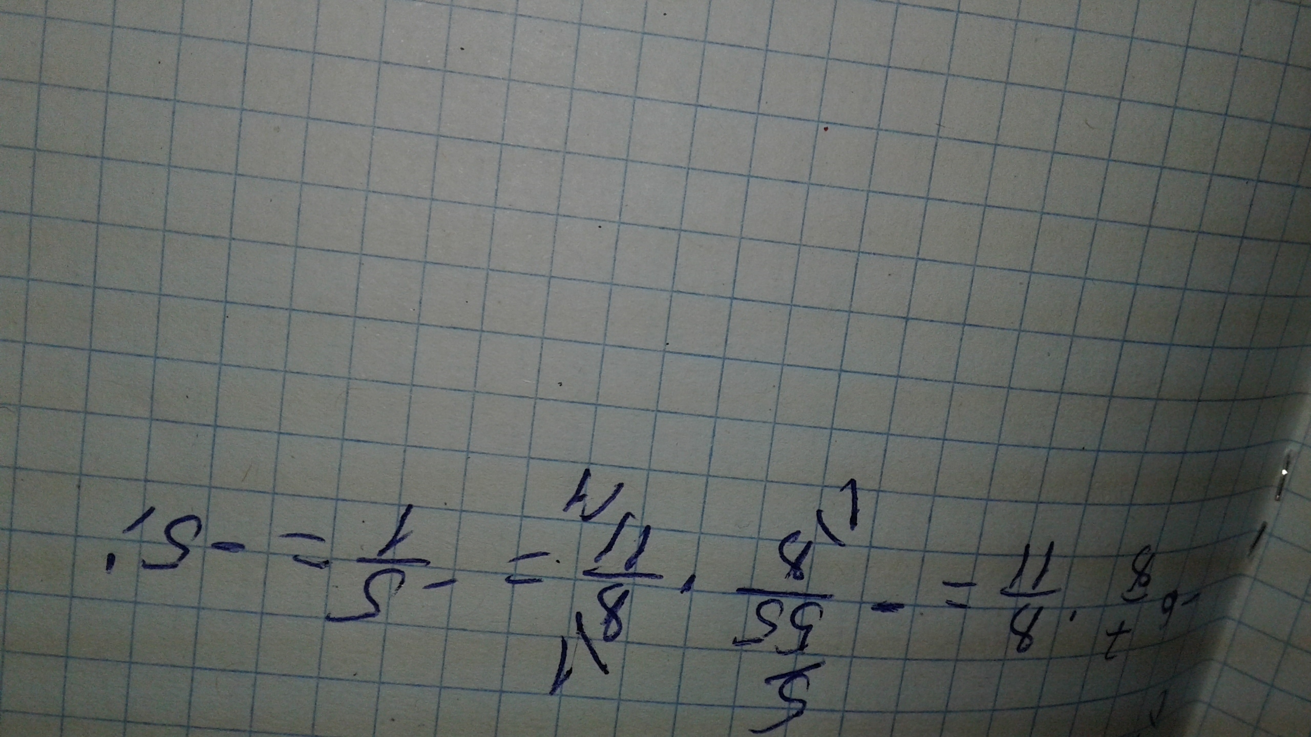
Выполните действие: -6 7/8*8/11 помогите умоляю.

Ответы

Ответ дал: n2324
0
Ответ на фото.......
Приложения:
Вас заинтересует