• Предмет: Математика
  • Автор: Woodya228
  • Вопрос задан 9 лет назад

Решите пожалуйста. Буду очень благодарен.

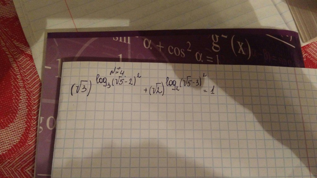
Приложения:

Ответы

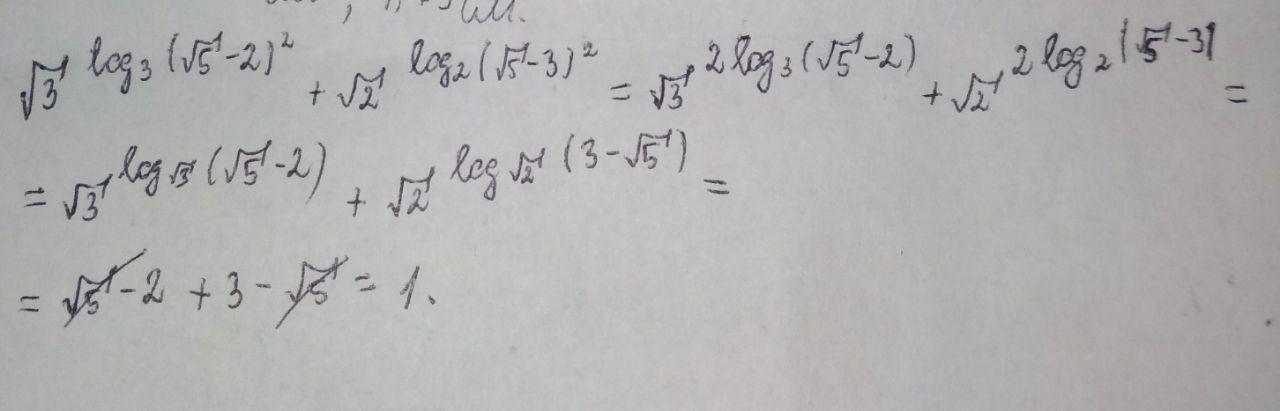
Ответ дал: вкпа
0
решение на фото ниже:
Приложения:
Вас заинтересует