Ответы
Ответ дал:
0
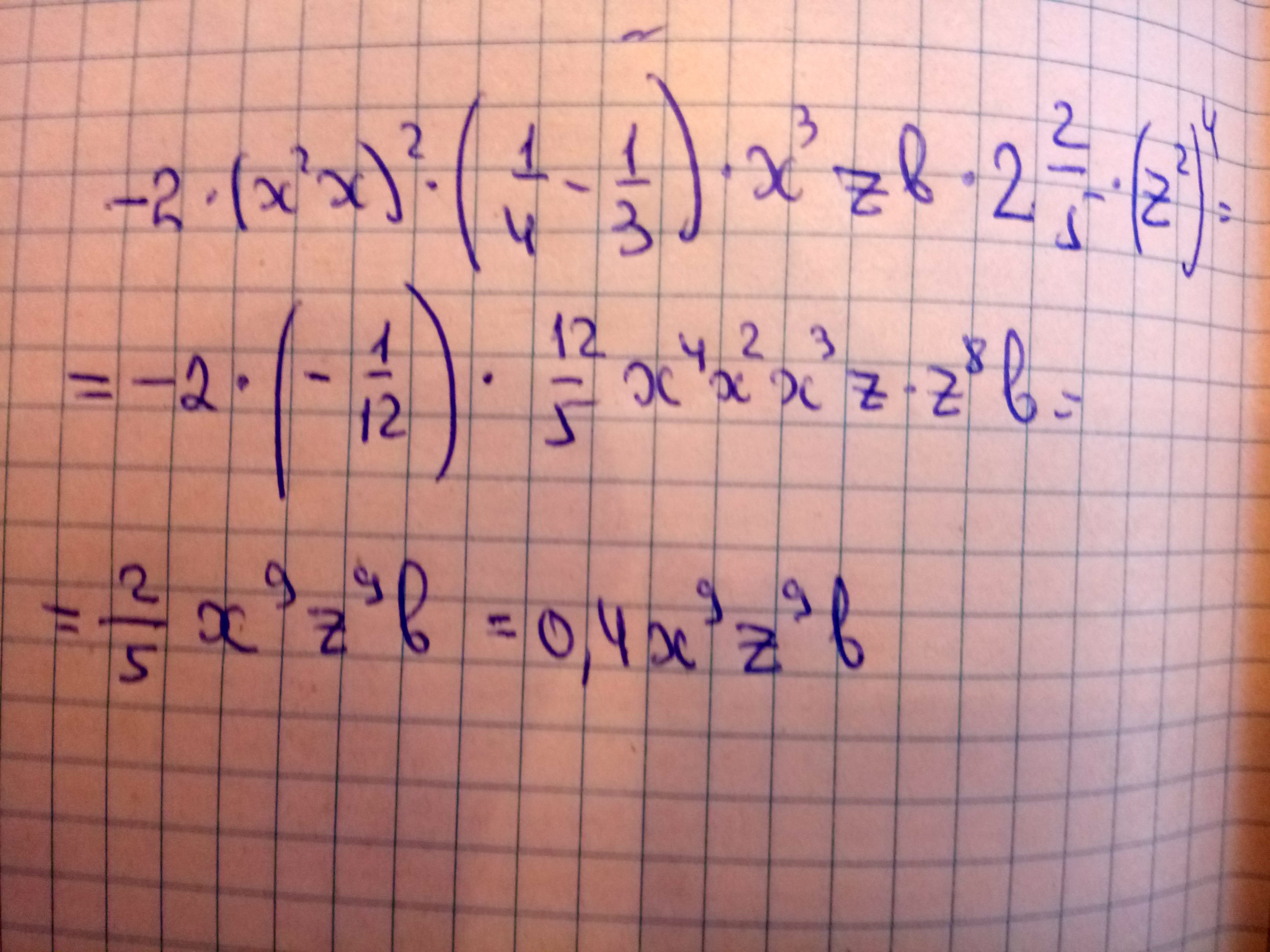
Решение задания приложено
Приложения:

Ответ дал:
0
Так 2 умножить на 2 это 4 и ещё один х это 5 а не 6
Ответ дал:
0
Почему 6 ?
Ответ дал:
0
Буквенные множители в одночленах стандартного вида принято записывать в алфавитном порядке, верно?
Ответ дал:
0
Да, так желательно, но не обязательно, если в школе не требуют.
Ответ дал:
0
И в алфавитном порядке надо записывать только в ответе, в ходе решения не надо
Вас заинтересует
2 года назад
2 года назад
3 года назад
3 года назад
9 лет назад
9 лет назад
10 лет назад