3)
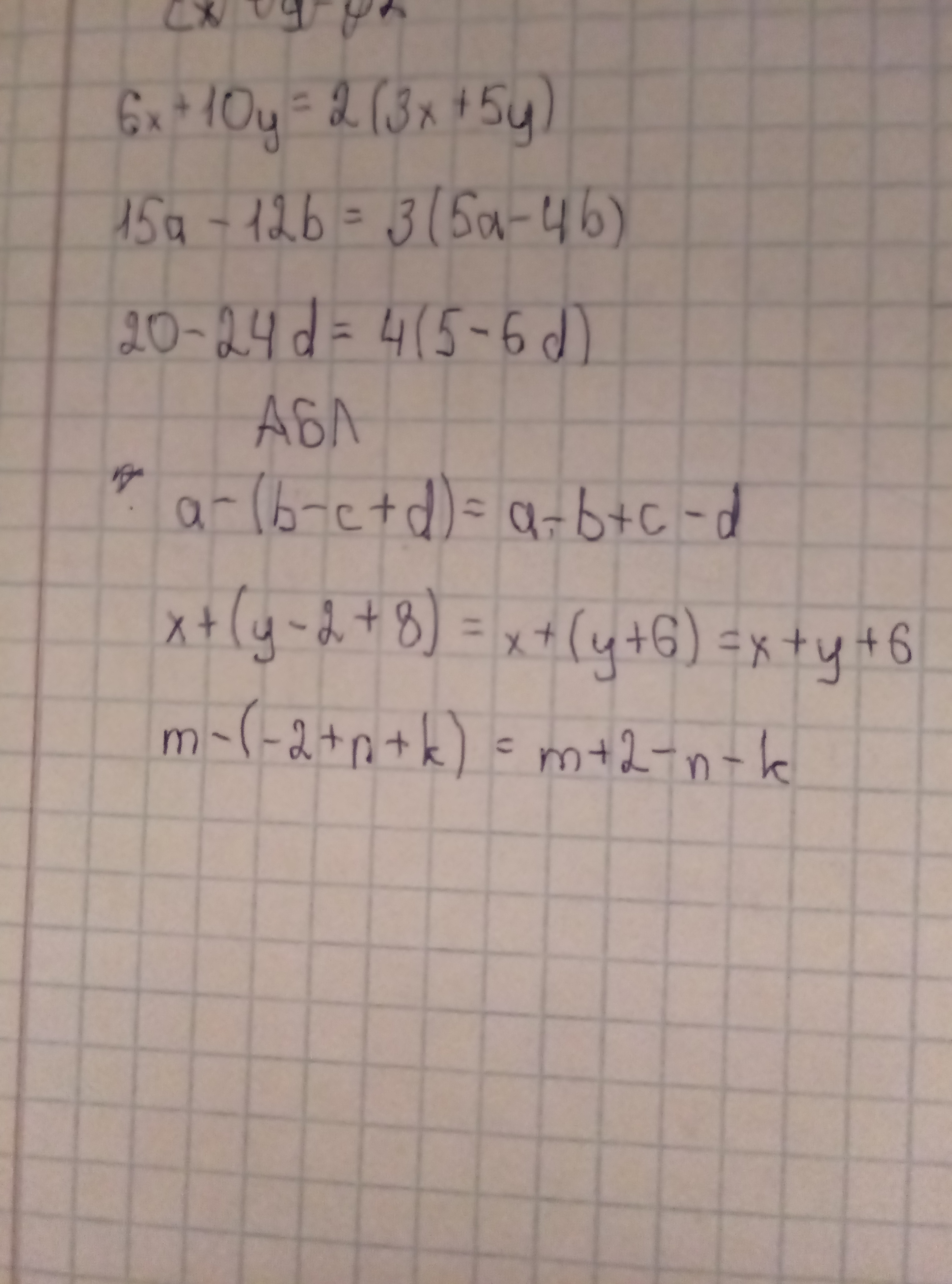
6х+10у
15а-12b
20с-24d
Номер 729
7) а-(b-c+d)=a-b+c-d
8) х+(у-2+8)
9) m-(-2+n+k)
Помоигте пж пж пж
Ответы
Ответ дал:
0
Если что-то не понятно, обращайся
Приложения:

Ответ дал:
0
а 729
Ответ дал:
0
сорри не заметил
Ответ дал:
0
спс
Ответ дал:
0
Всегда пожалуйста, обращайся)
Вас заинтересует
2 года назад
2 года назад
3 года назад
3 года назад
9 лет назад
9 лет назад