Ответы
Ответ дал:
0
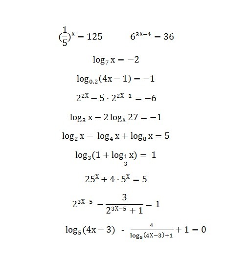
1)x=-3
2)3x-4=2
3x=6
x=2
3)x=7^(-2)
x=1/49
4)4x-1=0,2^(-1)
4x-1=2
4x=3
x=3/4
5)заменяем 2^(2x)=a
a-5/2a=-6
-3/2a=-6
a=4
2^(2x) =4
4^x=4
x=1
6)log2x-1/2log2x+1/3log2x=5
5/6log2x=5
log2x=6
x=2^6
x=64
7)1-log3x=3
log3x=-2
x=3^(-2)
x=1/9
8)5^x=a
a²+4a=5
a²+4a-5=0
a1=-5(не подходит)
a2=1
5^х=1
х=0
9)2^(3х-5)=а
а-3/(а+1)=1
а²+а-3=а+1
а²=4
а1=-2(не подходит)
а2=2
2^(3х-5)=2
3х-5=1
3х=6
х=2
10)log5(4x-3)=a
a-4/(a+1)+1=0
a²+a-4+a+1=0
a²+2a-3=0
a1=-3(не подходит)
а2=1
Log5(4x-3)=1
4x-3=5
4x=8
x=2
2)3x-4=2
3x=6
x=2
3)x=7^(-2)
x=1/49
4)4x-1=0,2^(-1)
4x-1=2
4x=3
x=3/4
5)заменяем 2^(2x)=a
a-5/2a=-6
-3/2a=-6
a=4
2^(2x) =4
4^x=4
x=1
6)log2x-1/2log2x+1/3log2x=5
5/6log2x=5
log2x=6
x=2^6
x=64
7)1-log3x=3
log3x=-2
x=3^(-2)
x=1/9
8)5^x=a
a²+4a=5
a²+4a-5=0
a1=-5(не подходит)
a2=1
5^х=1
х=0
9)2^(3х-5)=а
а-3/(а+1)=1
а²+а-3=а+1
а²=4
а1=-2(не подходит)
а2=2
2^(3х-5)=2
3х-5=1
3х=6
х=2
10)log5(4x-3)=a
a-4/(a+1)+1=0
a²+a-4+a+1=0
a²+2a-3=0
a1=-3(не подходит)
а2=1
Log5(4x-3)=1
4x-3=5
4x=8
x=2
Ответ дал:
0
спасибо конечно, но нужно было с подробным решением(
Ответ дал:
0
Напиши так
Ответ дал:
0
Подробнее будет
Ответ дал:
0
Для начинающих
Вас заинтересует
2 года назад
3 года назад
3 года назад
9 лет назад
10 лет назад