• Предмет: Математика
  • Автор: Karamelo
  • Вопрос задан 9 лет назад

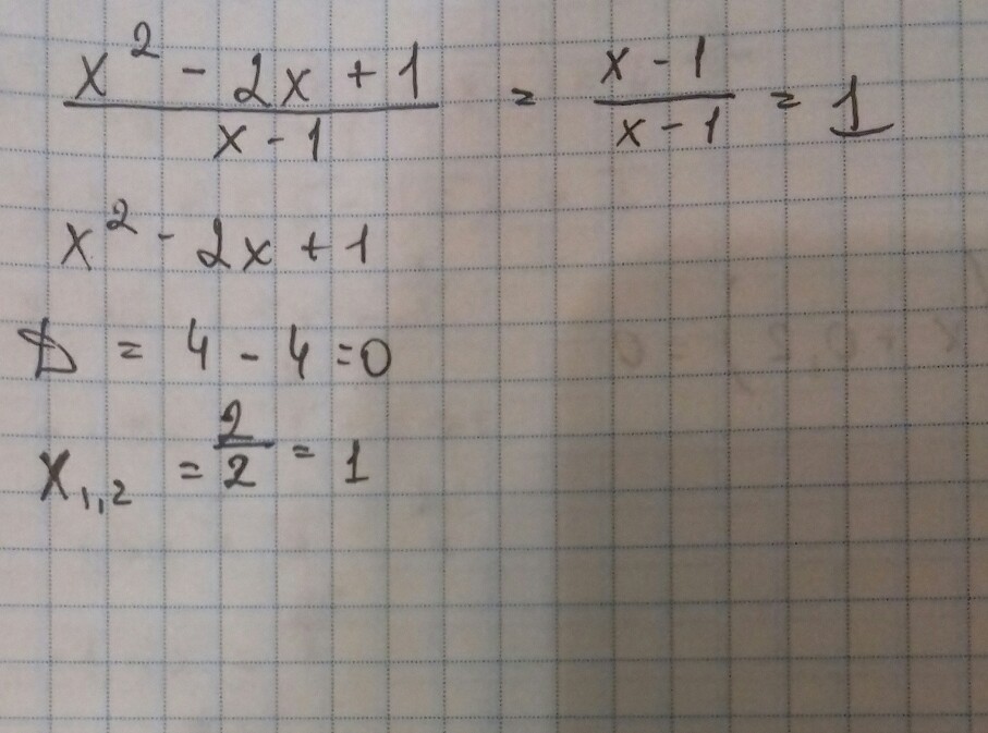
Сократите дробь:x^2 - 2x+1 / x-1 

Ответы

Ответ дал: Янад5
0
......................
Приложения:
Вас заинтересует