• Предмет: Математика
  • Автор: Rys1111
  • Вопрос задан 9 лет назад

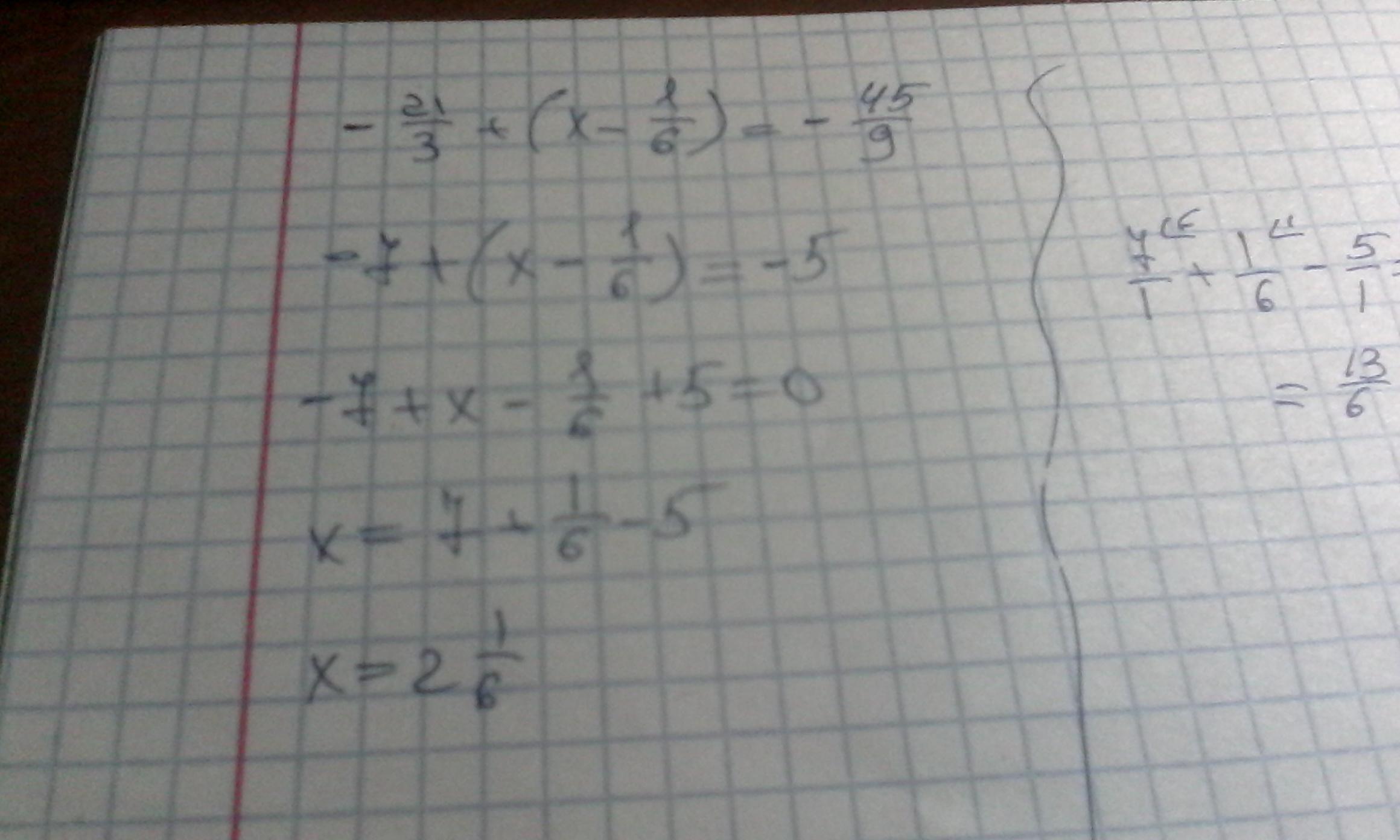
-21/3+(х-1/6)=-45/9. 41/2-(1,6-у)=7

Ответы

Ответ дал: Morbur55
0
решается вот так :) если есть вопросы, задавай
Приложения:
Ответ дал: Morbur55
0
ответ минус 2 целых три пятьдесят четвёртых
Ответ дал: Morbur55
0
-2 3/54
Ответ дал: Morbur55
0
это ответ на первый пример
Ответ дал: Rys1111
0
какой первый пример
Ответ дал: Morbur55
0
-2 1/3+(х-1/6)=-4 5/9
Вас заинтересует