• Предмет: Физика
  • Автор: ValeriaSaylaonova
  • Вопрос задан 9 лет назад

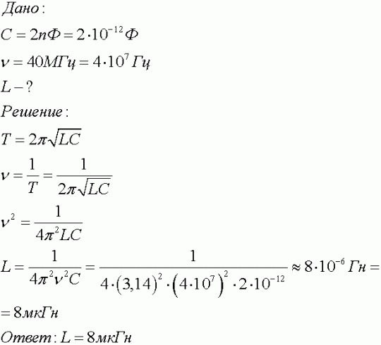
Контур радиоприемника с конденсатором емкостью 200 пФ настроен на частоту 400 кГц.Определите индуктивность катушки контура.

Ответы

Ответ дал: broslavskyrost
0
Не забудь 5 зірочок і лайк))))
Приложения:
Вас заинтересует