• Предмет: Математика
  • Автор: Nagornjk
  • Вопрос задан 9 лет назад

Срочно надо пажалуста

Приложения:

Ответы

Ответ дал: Trover
0
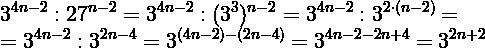
3^{4n-2}:27^{n-2}=3^{4n-2}:(3^3)^{n-2}=3^{4n-2}:3^{2cdot(n-2)}=\=3^{4n-2}:3^{2n-4}=3^{(4n-2)-(2n-4)}=3^{4n-2-2n+4}=3^{2n+2}
Приложения:
Вас заинтересует