Орнект3 ыкшамдап жаз:
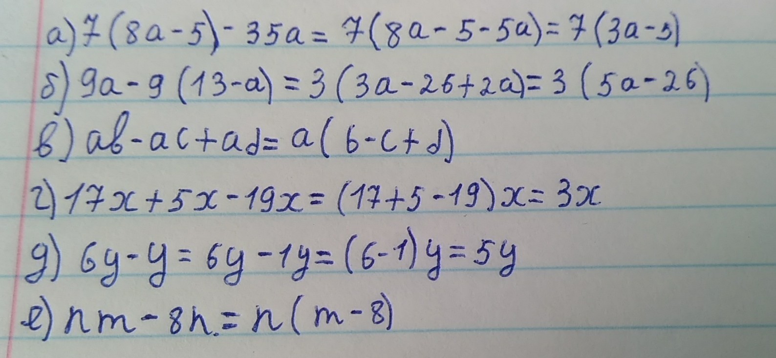
7(8a-5)-35a=
9a-9(13-a)=
Жакша коя аркылы ыкшамдандар:
ab-ac+ad=
17x+5x-19x=
6y-y=
nm-8n= Отинем шыгарып бериндерши 20балл
Ответы
Ответ дал:
0
Вот ответ на картинке,не забудь лайк поставить.
Приложения:

Вас заинтересует
2 года назад
2 года назад
3 года назад
3 года назад
9 лет назад
10 лет назад