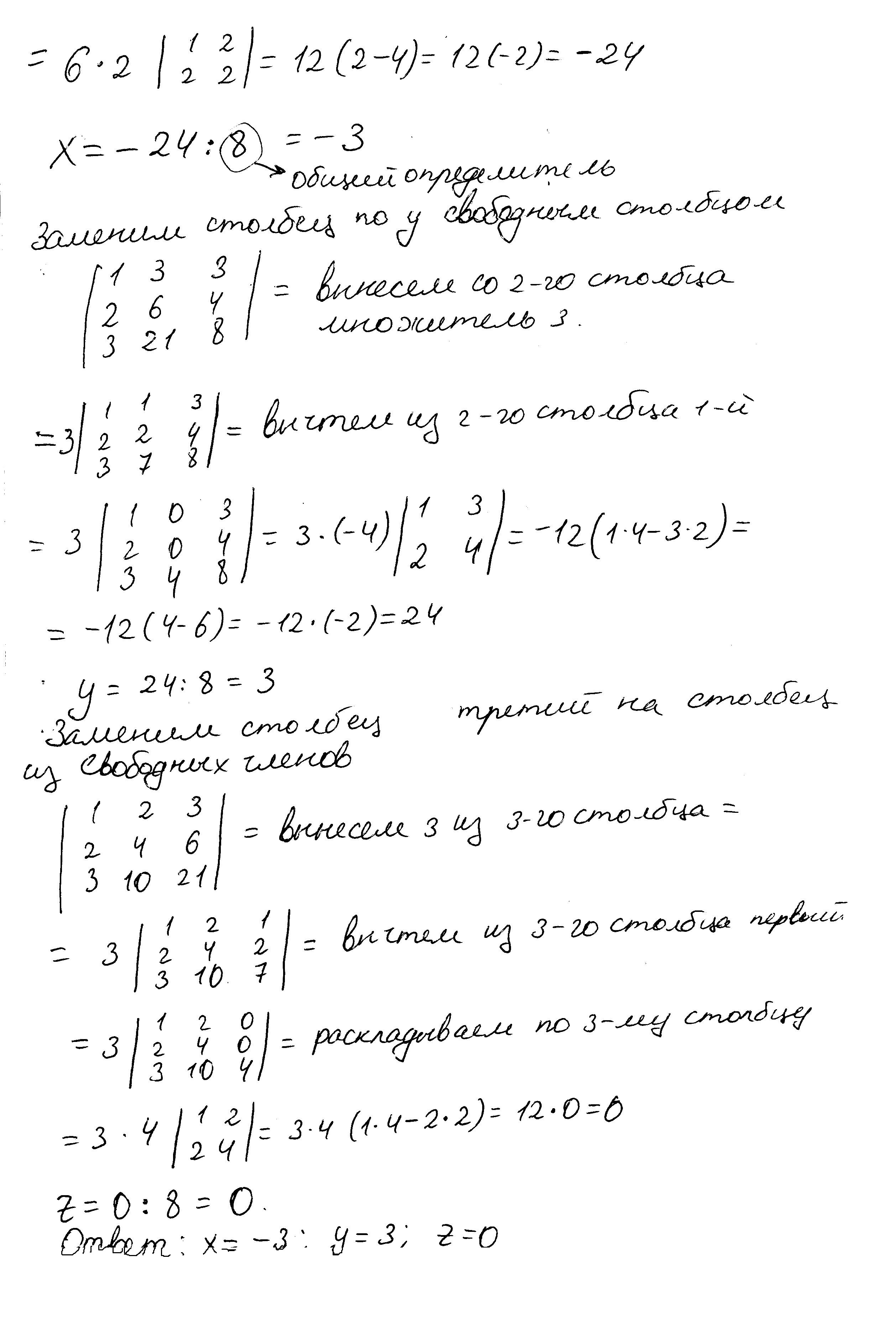
Найти решение системы линейных уравнений: методами матричным и по формуле Крамера
x+2y+3z=3
2x+4y+4z=6
3x+10y+8z=21
Ответы
Ответ дал:
0
Решение в приложении. х=-3; у=3; z=0.
Приложения:



Вас заинтересует
2 года назад
2 года назад
3 года назад
9 лет назад
10 лет назад
10 лет назад