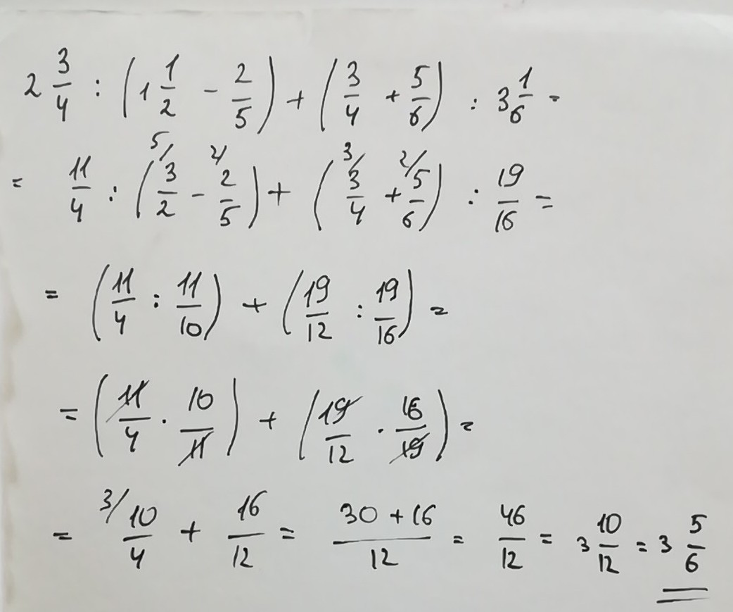
две целая 3/4÷(одна целая 1/2 - 2/5)+(3/4+5/6)÷три целая 1/6
ПОМОГИТЕ ПРИМЕР РЕШИТЬ ПРИМЕР С ДРОБЯМИ сроче
Ответы
Ответ дал:
0
пример простой, написала вроде понятно)
Приложения:

Вас заинтересует
3 года назад
3 года назад
9 лет назад
9 лет назад
10 лет назад