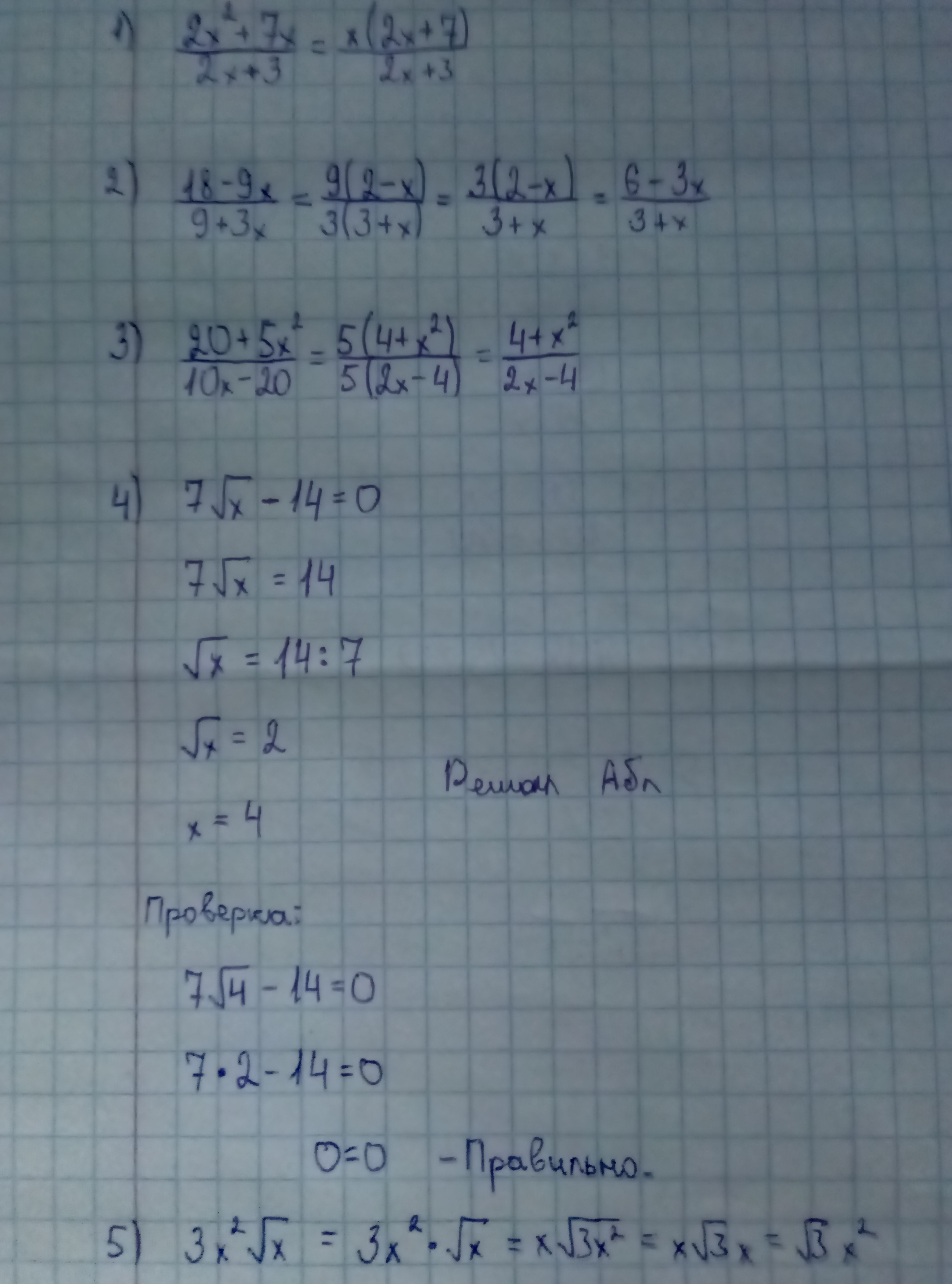
1.Найдите значения выражения:

2.Найдите допустимое значение переменной в выражении:

3.Сократить дробь:

4.Решите уровнения:

5.Внеситемножитель под знак корня:
Ответы
Ответ дал:
0
Если что-то не понятно, обращайся
Приложения:

Вас заинтересует
2 года назад
2 года назад
3 года назад
3 года назад
10 лет назад