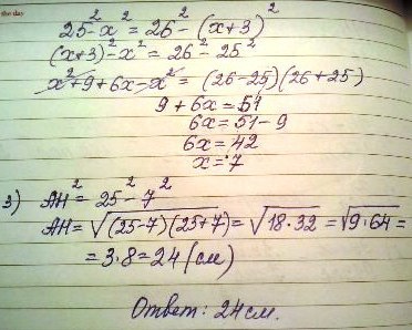
из точки к плоскости проведены две наклонные =25 и 26см найите расстояние от этой точки до плоскости если разность длин проекций этих отрезков на плоскость равна 3см выполните чертёж
Ответы
Ответ дал:
0
Решение в прикреплённом изображении,
Приложения:


Вас заинтересует
2 года назад
3 года назад
9 лет назад
9 лет назад
10 лет назад