Ответы
Ответ дал:
0
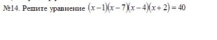
Группируем
((x-7)(x+2))((x-1)(x-4))=40
(x^2-5x-14)(x^2-5x+4)=40
x^2-5x=t
(t-14)(t+4)=40
t^2-10t-96=0
t1=-6
t2=16
Совокупность
x^2-5x+6=0 => x1=2 , x2=3
x^2-5x-16=0 => x3 = (5/2)-(sqrt89)/2, x4=(5/2)+(sqrt89)/2
((x-7)(x+2))((x-1)(x-4))=40
(x^2-5x-14)(x^2-5x+4)=40
x^2-5x=t
(t-14)(t+4)=40
t^2-10t-96=0
t1=-6
t2=16
Совокупность
x^2-5x+6=0 => x1=2 , x2=3
x^2-5x-16=0 => x3 = (5/2)-(sqrt89)/2, x4=(5/2)+(sqrt89)/2
Вас заинтересует
2 года назад
2 года назад
3 года назад
9 лет назад
10 лет назад