• Предмет: Математика
  • Автор: buche2005
  • Вопрос задан 9 лет назад

Помогитеее пжжж!!!!
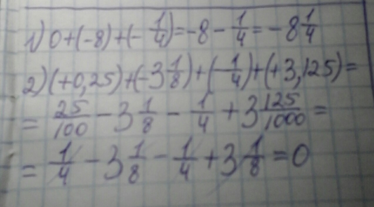
1) 0+(-8)+(-14)=
2) (+0,25)+(-3 18)+(-14)+(+3,125)=

Ответы

Ответ дал: Часур
0
можешь переписать, я проверил.
Приложения:
Вас заинтересует