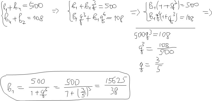
в геометрической прогрессии известно что b1+ b4 = 500; b4 + b7 = 108 найдите первый член данной прогрессии, до завтра, пожалуйста
Ответы
Ответ дал:
0
кенотрпиа345к4енри мса
Приложения:

Вас заинтересует
2 года назад
3 года назад
3 года назад
9 лет назад
9 лет назад
10 лет назад
10 лет назад