Ответы
Ответ дал:
0
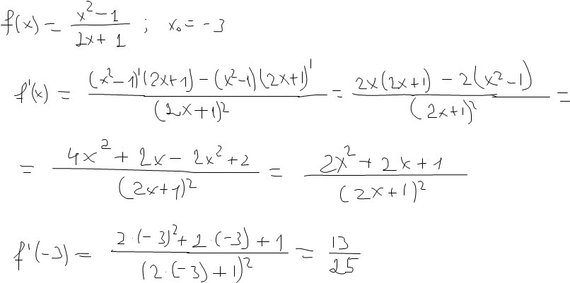
ывпвпвапвап454екепвап
Приложения:

Вас заинтересует
2 года назад
2 года назад
3 года назад
3 года назад
10 лет назад