• Предмет: Математика
  • Автор: Infinity167
  • Вопрос задан 9 лет назад

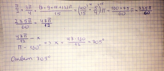
найдите сумму корней уравнения

Приложения:

Ответы

Ответ дал: Endrless
0
Первая фотка могла не отправиться
Приложения:
Ответ дал: Endrless
0
Может быть, обновить надо?
Ответ дал: Infinity167
0
обновляла уже 2 раза
Ответ дал: Infinity167
0
спасибо большое)
Ответ дал: Endrless
0
Появилось?
Ответ дал: Infinity167
0
зашла через хром и увидела)
Вас заинтересует