• Предмет: Математика
  • Автор: Саша1290735
  • Вопрос задан 9 лет назад

помогите, не могу решить уже 2 часа

Приложения:

Ответы

Ответ дал: Skittyk
0
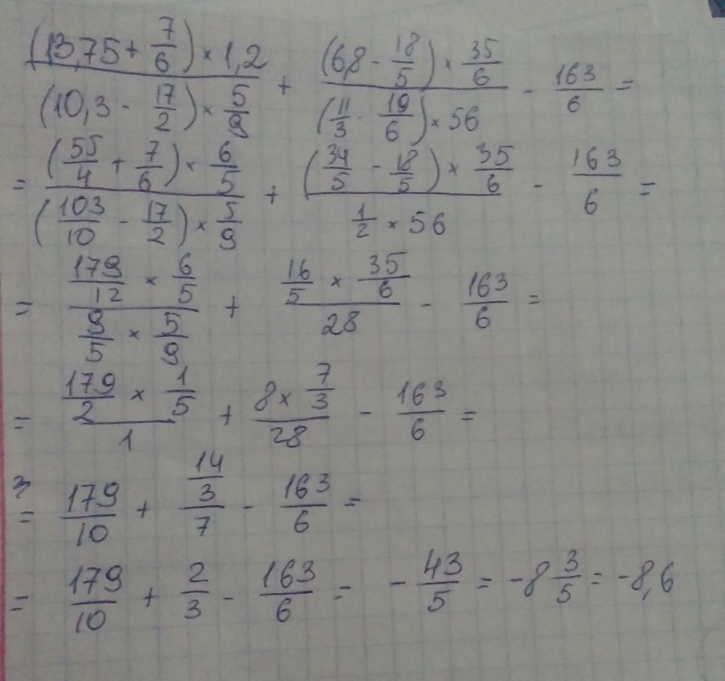
Как-то так,скорее всего.
Приложения:
Ответ дал: Atomical
0
неправильно
Ответ дал: Atomical
0
должно получится 1
Ответ дал: Atomical
0
Я решил
Ответ дал: Саша1290735
0
так дай обьяснение
Вас заинтересует